Ответы
Ответ дал:
2
Ответ:
как-то так
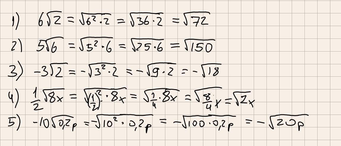
вроде всё правильно
можно лучший ответ?
Приложения:

sergeevaolga5:
В 4) неточность - там не 2, а 1/2
Ответ дал:
1
Вас заинтересует
2 года назад
2 года назад
8 лет назад
9 лет назад