• Предмет: Математика
  • Автор: danilakdd82
  • Вопрос задан 7 лет назад

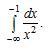
Вычислить несобственный интеграл или установить его расходимость.

Приложения:

Ответы

Ответ дал: fenix6810
0

=1-lim(x→-∞)(-1/x)=lim(x→∞)(1/x)+1

1/x- гармонический ряд, он является расходящимся

поэтому несобственный интеграл расходится

Вас заинтересует