• Предмет: Математика
  • Автор: danilakdd82
  • Вопрос задан 7 лет назад

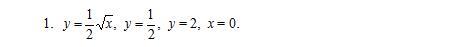
Вычислить площадь фигуры, ограниченной линиями:

Приложения:

Ответы

Ответ дал: fenix6810
1

ответ 10,5

y=1/2√x  

√x=2y  x=4y^2

∫4y^2dy=4x^3/3

подстановка, (4/3)2^3-(4/3)(1/2)^3=(4/3)(8-1/8)=21/2=10,5

Вас заинтересует