• Предмет: Алгебра
  • Автор: ayaganovdias38
  • Вопрос задан 7 лет назад

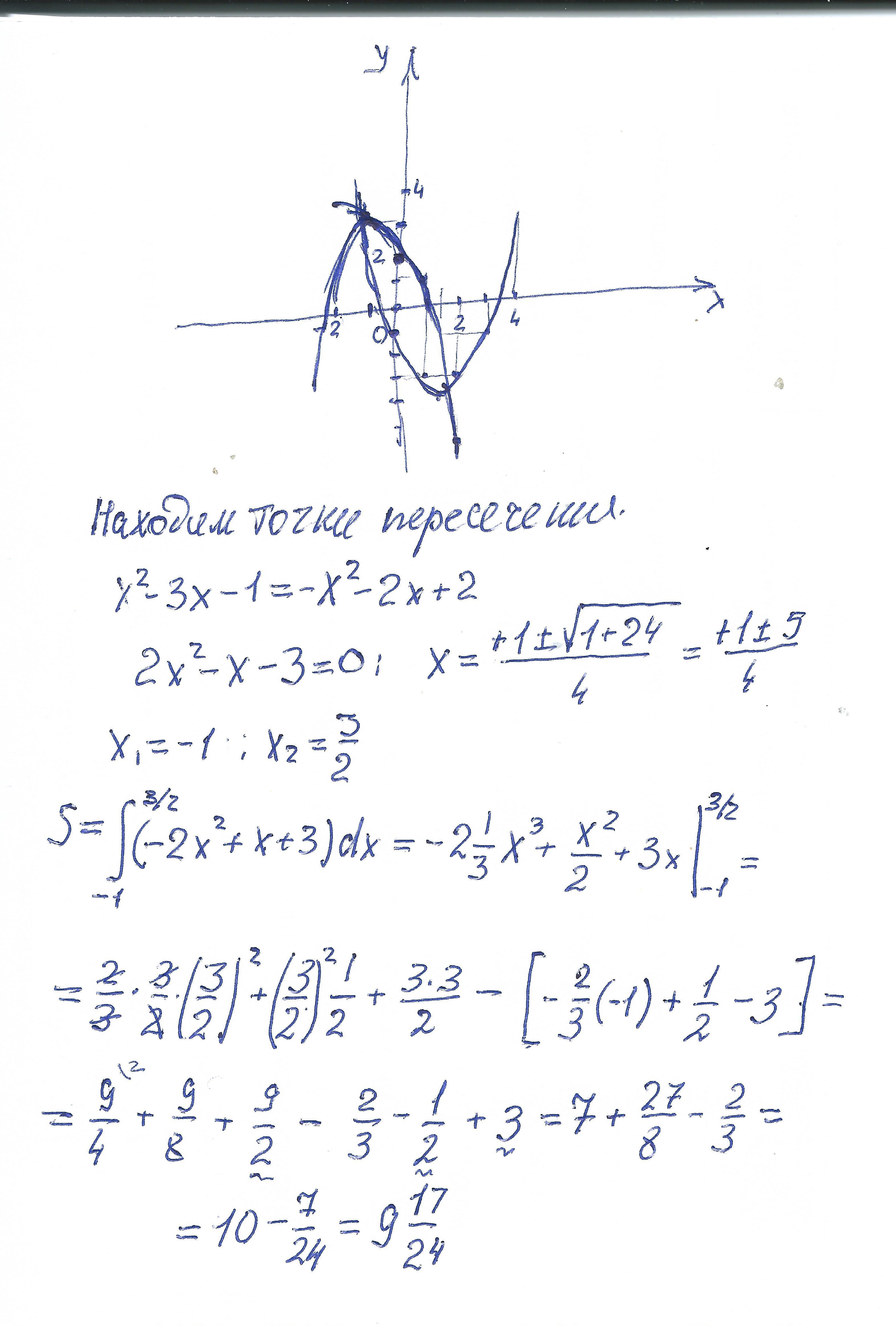
y=x²-3x-1, y=-x²-2x+2 вычислите площадь фигуры, ограниченной кривыми.сделайте чертеж​

Ответы

Ответ дал: fenix6810
1

Ответ:

ответ в файле. вычисления проверяйте.

мог сделать элементарную арифметическую ошибку.

Приложения:

ayaganovdias38: Какая здесь ошибка
Вас заинтересует