Ответы
Ответ дал:
0
Ответ:
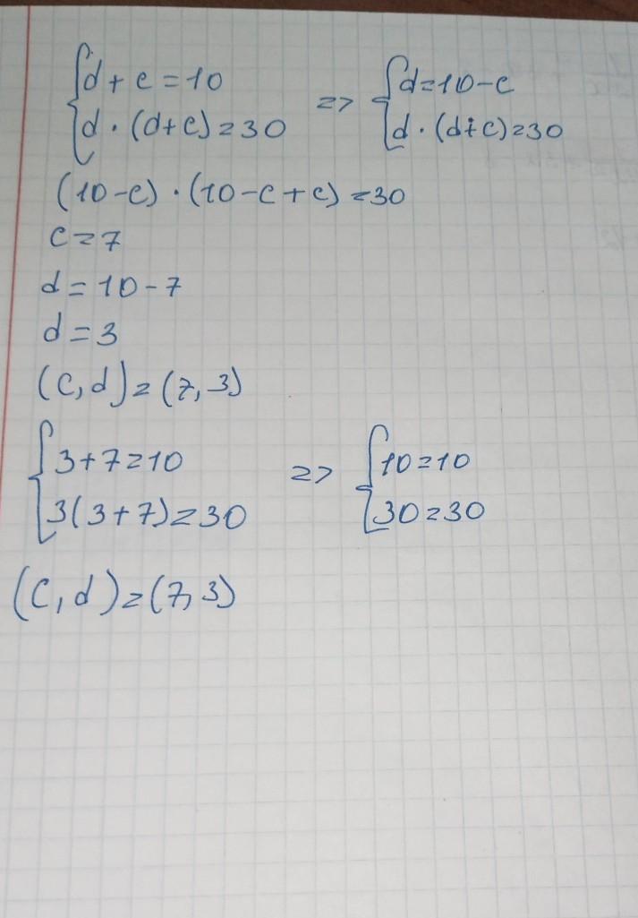
d=10-c
d(d+c)=30
(10-c)(10-c+c)=30
c=7
d=10-7
d=3
(c,d)=(7,3)
{3+7=10
{3(3+7)=30
{10=10
{30=30
Упорядоченная пара чисел является решением системы уравнения, так как оба равенства верны.
(c,d)= (7,3)
Объяснение:
/
Ответ дал:
0
я прикрепил,решал с проверкой)
d=3
c=7
Приложения:

Вас заинтересует
2 года назад
2 года назад
2 года назад
8 лет назад
9 лет назад