• Предмет: Алгебра
  • Автор: goodnewmoon
  • Вопрос задан 7 лет назад

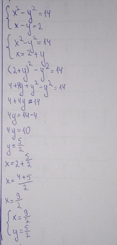
Реши систему уравнений:
(х2 - y2 = 14
х — у = 2
X
х = C

Приложения:

Ответы

Ответ дал: sofyashkola101
1

х= 4 1/2

у= 2 1/2

вроде так, если не правильно извини пожалуйста

Приложения:
Вас заинтересует