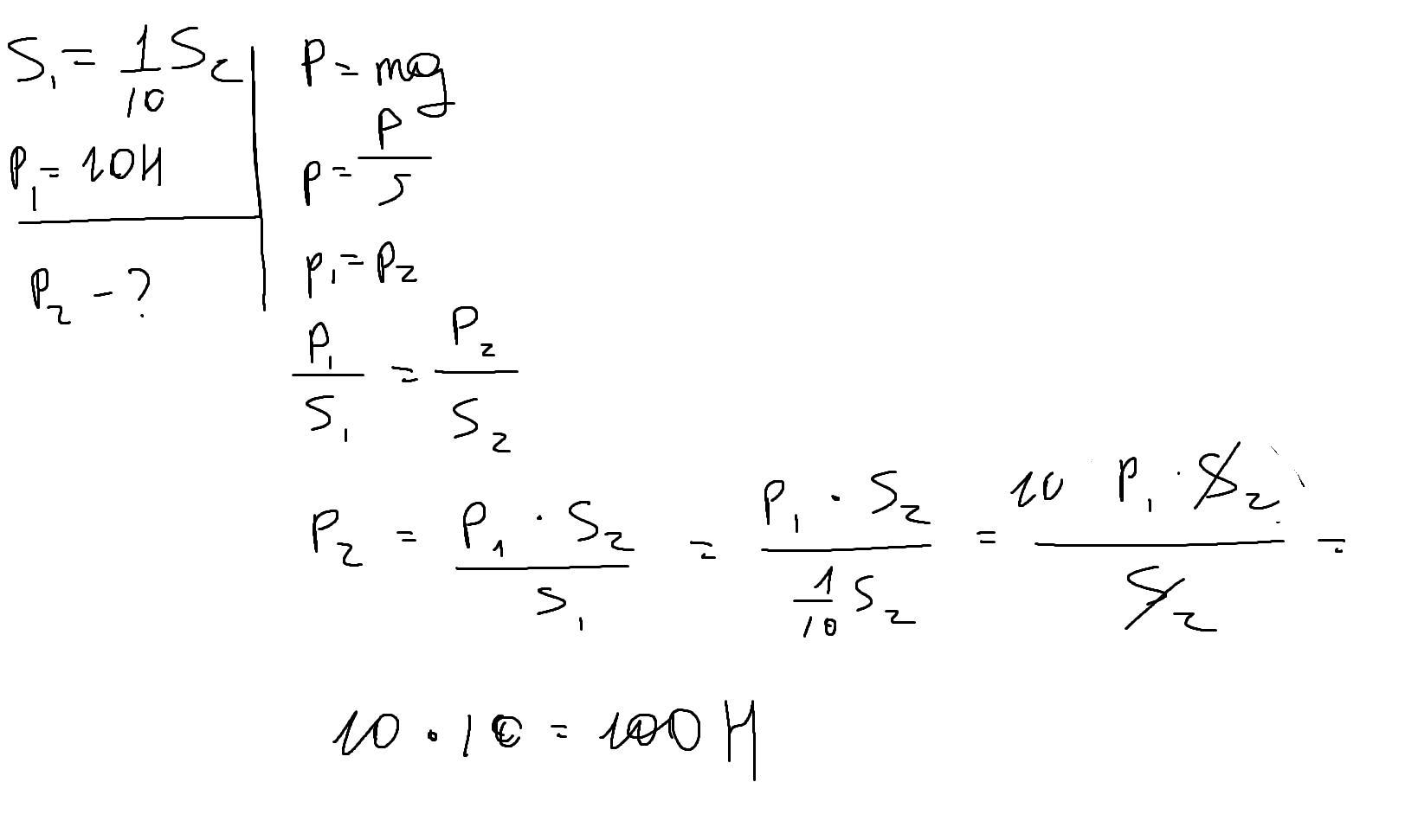
Два сообщающихся сосуда с различными поперечными сечениями наполнены морской водой. Площадь поперечного сечения у узкого сосуда в 10 раз меньше, чем у широкого. На узкий поршень поставили гирю весом 10 Н. Определи, какой груз надо положить на широкий поршень, чтобы оба груза находились в равновесии.
Ответ: на широкий поршень надо положить груз весом
кН.
Ответы
Ответ дал:
1
Ответ во вложении
Нужно помнить формулу давления
p=P/S
Затем, их нужно приравнять
Приложения:

Вас заинтересует
2 года назад
2 года назад
2 года назад
2 года назад
8 лет назад
8 лет назад
9 лет назад
9 лет назад