• Предмет: Математика
  • Автор: mixailll37
  • Вопрос задан 7 лет назад

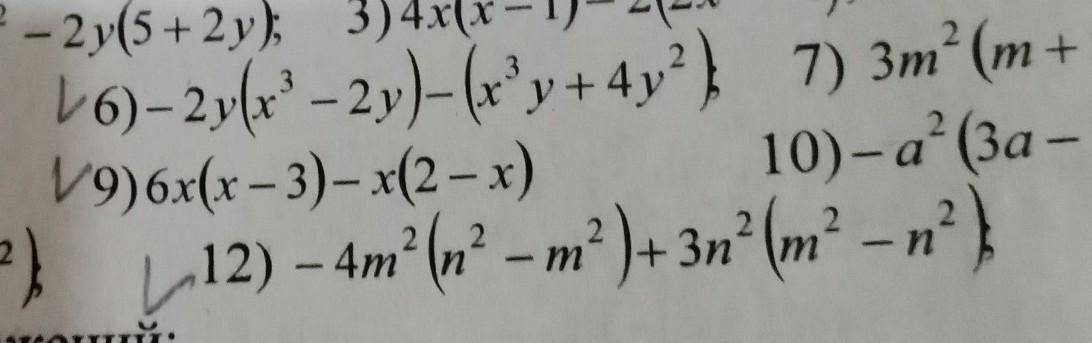
помогитеееееее пожалуйста только те где галочки!!!!!​

Приложения:

Ответы

Ответ дал: kofard
0

Ответ:

вот так вышло. удачи тебе

Приложения:

iramazurk: Проверьте последний пример
kofard: спасибо,исправил
Ответ дал: iramazurk
0

Ответ:

Пошаговое объяснение:

6) = - 2х³у + 4у² - х³у - 4у² = - 3х³у

9) = 6х² - 18х - 2х + х² = 7х² - 20х

12) = - 4m²n² + 4m⁴ + 3m²n² - 3n⁴ =

- m²n² + 4m⁴ - 3n⁴

Вас заинтересует