помагите пжжжжж это очень срочнаааа
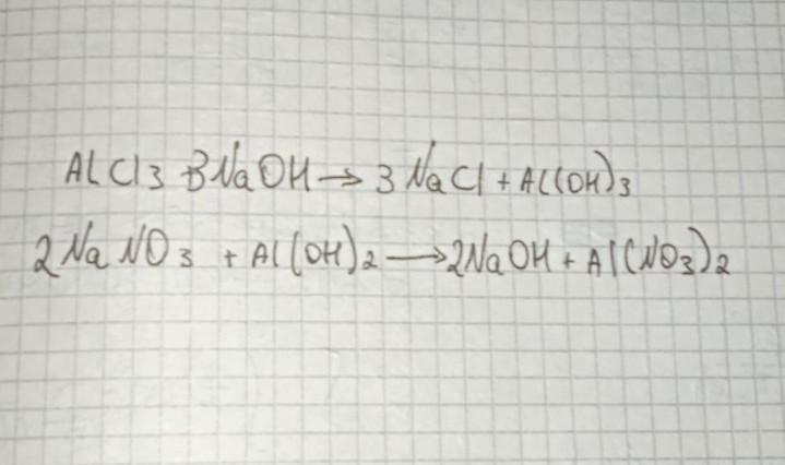
Al cl3+NaOH=?
NaNO3+Al(OH)2=?
daniilvolkswagen28:
AlCl3 +NaOH =NaCl +H2O
Ответы
Ответ дал:
2
Объяснение:
все на листочке)))))))))))
Приложения:

Ответ дал:
2
Ответ:
AlCl3 + 3NaOH (разб.)→ Al(OH)3↓ + 3NaCl
AlCl3 + 4NaOH (конц.)→ Na[Al(OH)4] + 3NaCl
Объяснение:
Вас заинтересует
2 года назад
2 года назад
2 года назад
2 года назад
8 лет назад
8 лет назад
9 лет назад