• Предмет: Алгебра
  • Автор: Аноним
  • Вопрос задан 7 лет назад

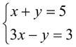
Какая из следующих пар является решением системы уравнений

Приложения:

Ответы

Ответ дал: Аноним
1

Ответ:

х=2

у=3.

Объяснение:

всё просто. мы переносим вправо х в 1ом уравнении, тем самым выражая у.

подставляем значение у во второе уравнение и получаем после привидения подобных: 4х=8, откуда понятно, что х=2.

зная х, найдём и у.

у =5-2=3.


Аноним: (-3;-12)

(0;5)

(2;3)

(-1;6)
Аноним: нужно выбрать
Аноним: (2;3)
Ответ дал: prettypushkova
0

{х + у = 5

{3х - у = 3

- - - - - - - - -

{у = 5 - х

{3х - (5 - х) = 3

3х - 5 + х = 3

3х + х = 3 + 5

4х = 8

х = 8 : 4

х = 2

- - - - - - - - -

у = 5 - 2

у = 3

Ответ: (2; 3).

Вас заинтересует