• Предмет: Алгебра
  • Автор: llevviu
  • Вопрос задан 7 лет назад

хелп плз дам 30 баллов
и расписывайте пж

Приложения:

Ответы

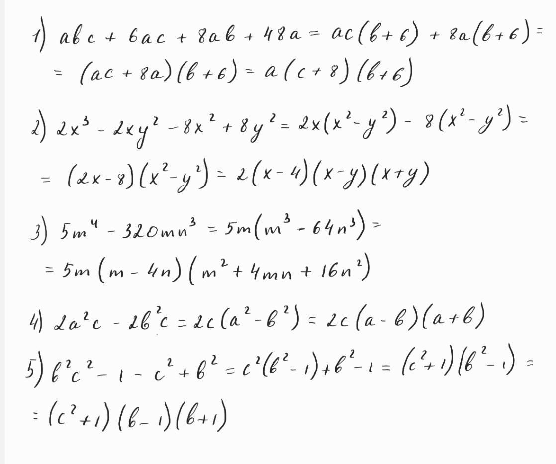
Ответ дал: Ляляляля109
2

Решение представлено на фото

Приложения:
Ответ дал: НастаsИя
1

Ответ: 1. а*(бс+6с+8б+48)=ф*(с*(б+6)+8(б+6))= а*(б+6)*(с+8)

2. 2(х^3-xy^2-4x^2+4y^2)=2(x^2-y^2)*(x-4)=2(x-y)*(x+y)*(x-4)

3. 5m*(m^3-64n^3)= 5m*(m-4n)*(m^2+4mn+16n^2)

4. 2c*(a^2-b^2)= 2c*(a-b)*(a+b)

5. c^2*(b^2-1)-1+b^2=(b^2-1)*(c^2+1)= (b-1)*(b+1)*(c^2+1)

Объяснение:

Вас заинтересует