• Предмет: Алгебра
  • Автор: Аноним
  • Вопрос задан 7 лет назад

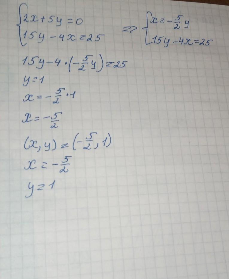
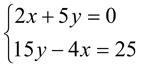
Решите систему уравнений способом подстановки

Ответ: х=
, у=

Приложения:

Ответы

Ответ дал: nessahossler691
1

все прикрепила, решала методом подстановки

х=-5/2

у=1

Приложения:
Вас заинтересует