ПОМОГИТЕ ПЖ С PYTHON
1 Табулирование заданных значений. Выполним задания, чтобы ввод данных и вывод результатов осуществлялись в файл.
Приложения:
Ответы
Ответ дал:
0
Решение:
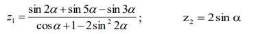
Python
import math
def z1(a):
"""(sin2a + sin5a - sin3a )/(1 + cosa - 2sin²a) = 4sin(a/2)cos(5a/2)"""
z1 = 4 * math.sin(a / 2) * math.cos(5 * a / 2)
return z1
def z2(a):
"""z2 = 2sin(a)"""
z2 = 2 * math.sin(a)
return z2
a = int(input())
z1z2 = str(z1(a)) + ', ' + str(z2(a))
with open('файл.txt', 'w') as result:
result.write(z1z2)
result.close()
Формулу первого примера думаю уже понятно откуда было взято. Как говориться зачем создавать велосипед если можно проехать на автобусе. Если че решал abhi178.
daniyarkanu:
С первым по формулам не очень уверен, пока поработаю над ним
Вас заинтересует
2 года назад
2 года назад
3 года назад
8 лет назад
8 лет назад
10 лет назад