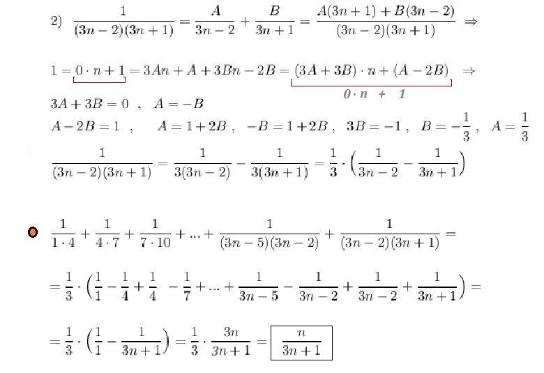
сумма 4-х членов первого ряда чисел: Найдите 1 ÷ 4 + 1 ÷ (4 × 7) + .... + 1 ÷ (3n-2) (3n-1 + ....
NNNLLL54:
(3n-2)(3n+1)
Ответы
Ответ дал:
0
Ответ: .
Находим коэффициенты разложения правильной дроби на сумму простейших дробей, пользуемся методом неопределённых коэффициентов .
Приложения:

Вас заинтересует
2 года назад
2 года назад
2 года назад
2 года назад
8 лет назад
8 лет назад
9 лет назад
9 лет назад