• Предмет: Математика
  • Автор: muhammadrozikov17
  • Вопрос задан 7 лет назад

даю 30 баллов номер 538 541 в,ж,з​

Приложения:

Ответы

Ответ дал: Аноним
1

Ответ:

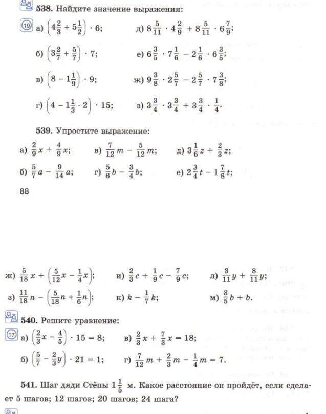
538.

в) 8*9-1, 1/9*10=72-10=62

ж) 2, 5/7 выносится за скобки.

в скобках:9, 3/8-7, 3/8=2

2,5/7*2=4, 10/7=5, 3/7

з) 3,75 за скобку.

в скобках:3, 75+0, 25=4

3,75*4=12, 12/4=15

541.

если 5 шагов, то 6 м;

если 12 шагов, то 14, 2/5 шага;

если 20 шагов, то 24 м;

если 24 шага, то 28, 4/5 шага.

Ответ дал: natali198112306
0

Ответ:

538

в) (8-1 1/9)*9=8*9-10/9*9=72-10=62

ж) 9 3/8*2 5/7-2 5/7*7 3/8=2 5/7(9 3/8-7 3/8)=19/7*2=38/7=5 3/7

з) 3 3/4*3 3/4+3 3/4*1/4=3 3/4(3 3/4+1/4)=15/4*4=15

541

1) 1 1/5*5=6/5*5=6м

2) 6/5*12=72/5=14 2/5м=14.4м

3)6/5*20=24м

4) 6/5*24=144/5=28 4/5м=28.8м

Пошаговое объяснение:

Вас заинтересует