• Предмет: Информатика
  • Автор: trashmusorvedmak
  • Вопрос задан 7 лет назад

Ребят, помогите.....я вообще не шарю в Паскале, кошмар какой-то:
Напишите программу на языке Паскаль, а также постройте блок-схему алгоритма для решения следующей задачи:

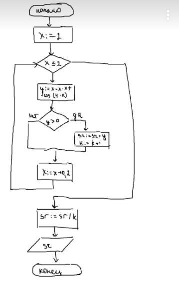
Вычислить среднее арифметическое всех положительных значений функции

y(x) = x3 + cos4x (если что, то здесь числа- степени), на промежутке [-2; 2] с шагом h = 0.2.


denisukdara: дай свою телегу,,.!!
trashmusorvedmak: @Eqaam

Ответы

Ответ дал: PUCIIK726
6

Ответ:

program zadacha;

var x, y, sr: real;

   k: integer;

   

begin

   x := -2;

   while x <=2 do begin

       y := x*x*x+cos(4*x);

       if y > 0 then begin

           sr := sr + y;

           k := k+1;

       end;

       x := x+0.2;

   end;

   sr := sr / k;

   writeln(sr);

end.

Объяснение:

Приложения:

trashmusorvedmak: СПАСИБОЧКИИИИИИИИИИИИИИ! :3
PUCIIK726: Ты ведь из ИнтернетУрока? Что по поводу кода сказали?
trashmusorvedmak: пока ничего, они вообще проверяют 50000000000000 лет....
Вас заинтересует