• Предмет: Математика
  • Автор: Postgraduate
  • Вопрос задан 7 лет назад

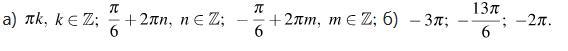
Объясните в чем разница n∈Z и n∈k, что это такое и зачем писать разные буквы?

Приложения:

Ответы

Ответ дал: olegsorokin02
0
Эти записи означают, что k, n, m принадлежат целым числам. Если любое целое число вместо них подставить, получится один из бесконечного числа правильных ответов. Буквы разные, чтобы подчеркнуть, что записи ответов друг от друга не зависят.

Вас заинтересует