• Предмет: Алгебра
  • Автор: ano95
  • Вопрос задан 7 лет назад

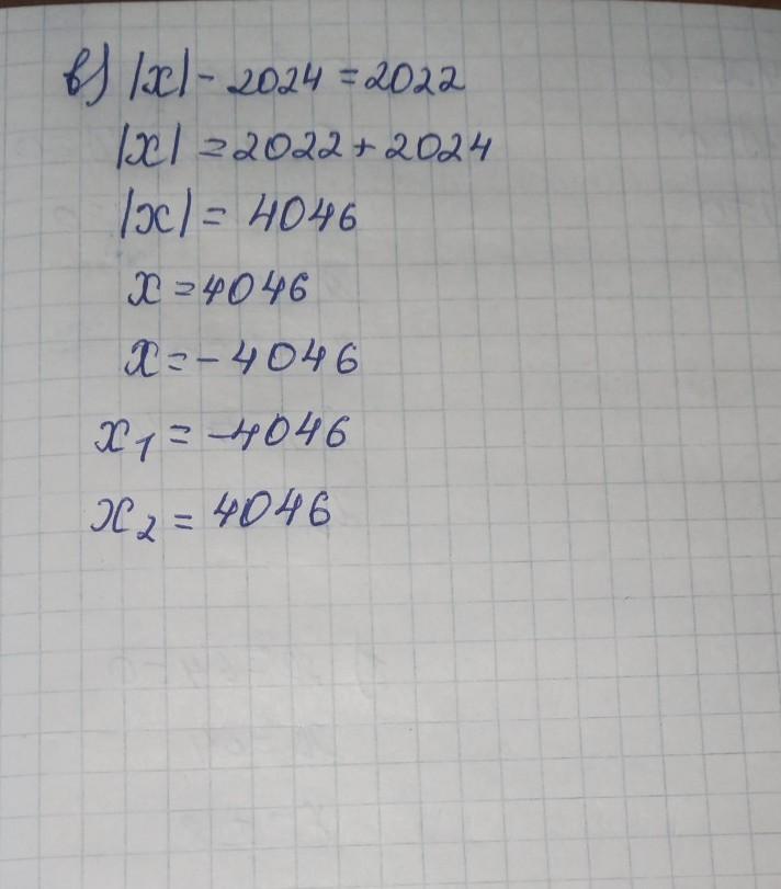
помогите!!! Срочно!!! Решите номер 9. Пожалуйста !!​

Приложения:

Ответы

Ответ дал: mila36556
0

Ответ:

а)4

3х-5-12+х=2х+7

4х-17=2х+7

4х+2х=7+17

6х=24

х=4

Ответ дал: nessahossler691
0

я прикрепила, если что там не буква z а =

Приложения:
Вас заинтересует