• Предмет: Алгебра
  • Автор: heeey12
  • Вопрос задан 7 лет назад

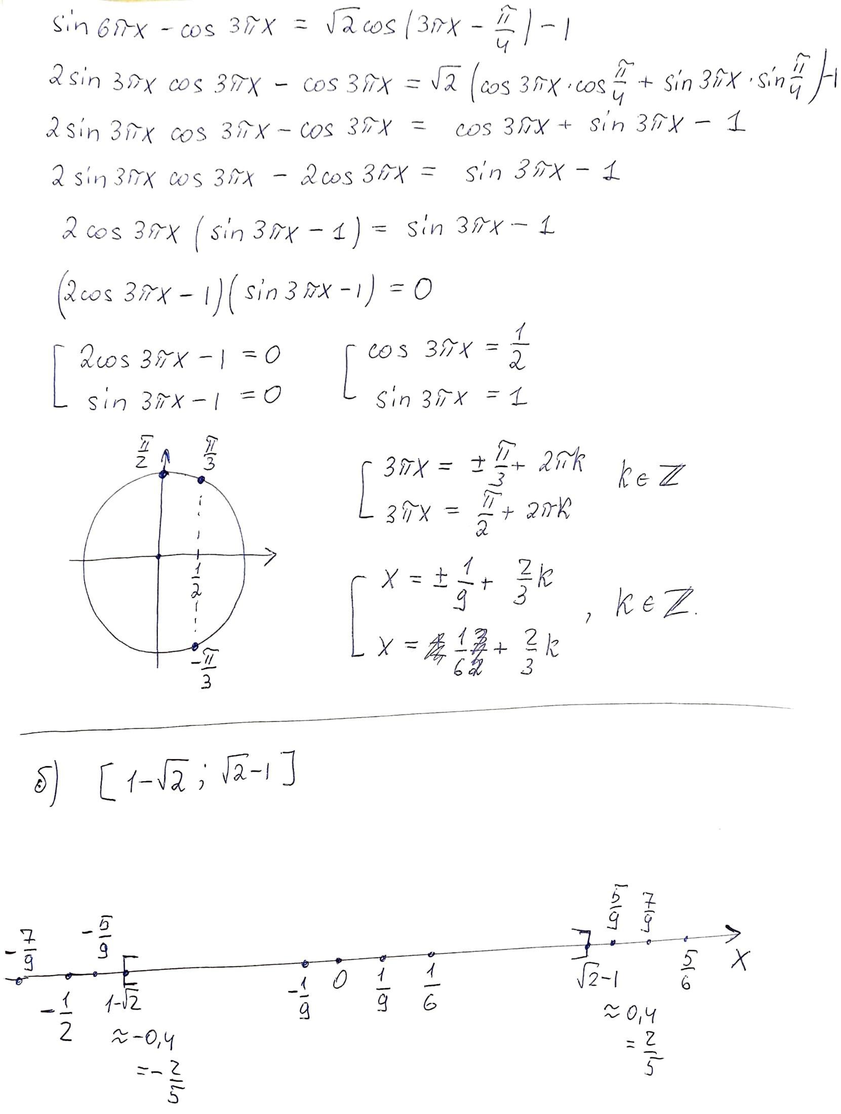
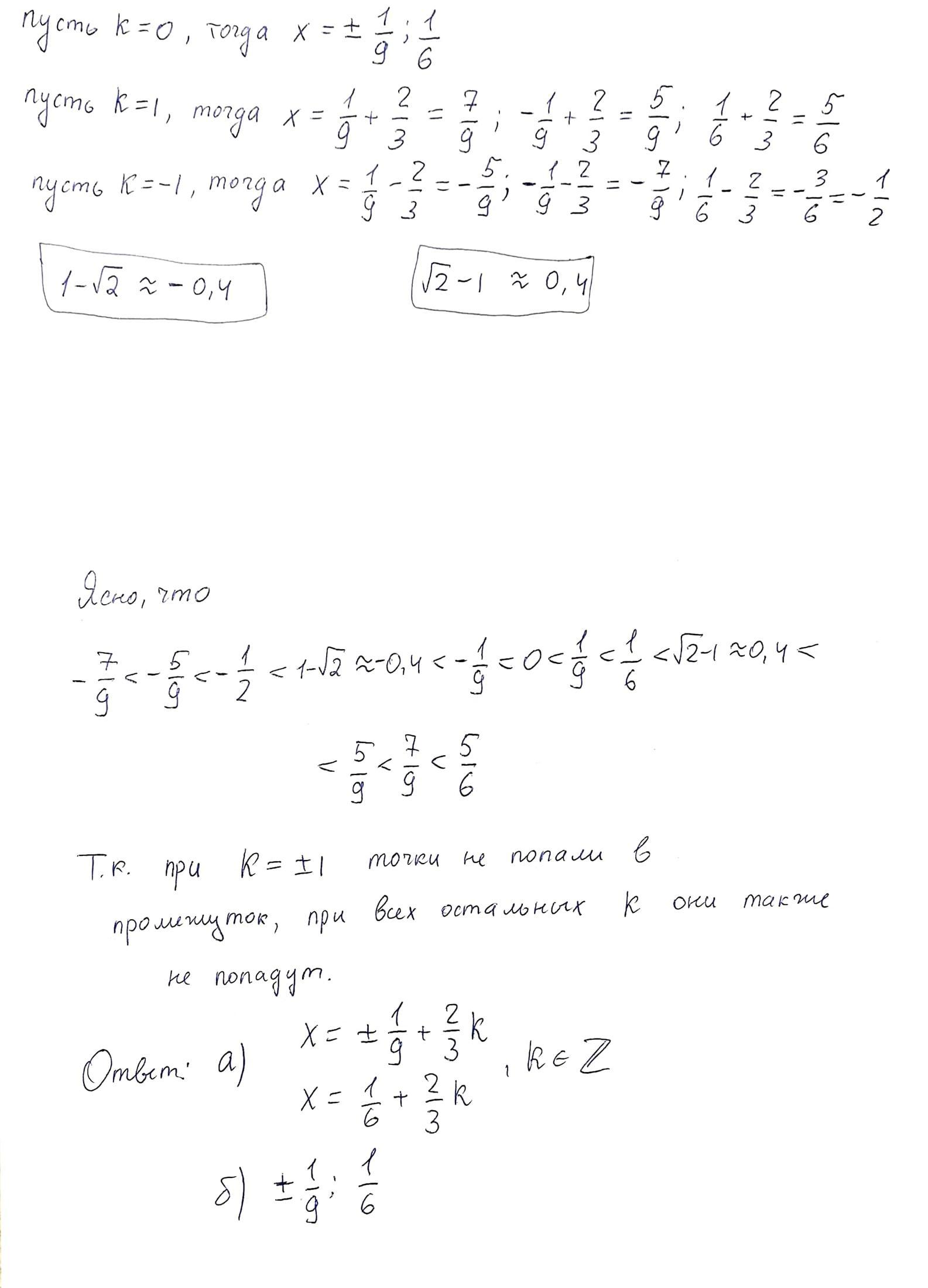
Решите уравнение и найдите корни данного уравнения, принадлежащие отрезку

Приложения:

Ответы

Ответ дал: artemijkurganov
1

Объяснение на прикреплённых картинках

Приложения:

artemijkurganov: Если есть вопросы по переходам, можешь писать сюда :)
Вас заинтересует