• Предмет: Алгебра
  • Автор: berezin19821982
  • Вопрос задан 7 лет назад

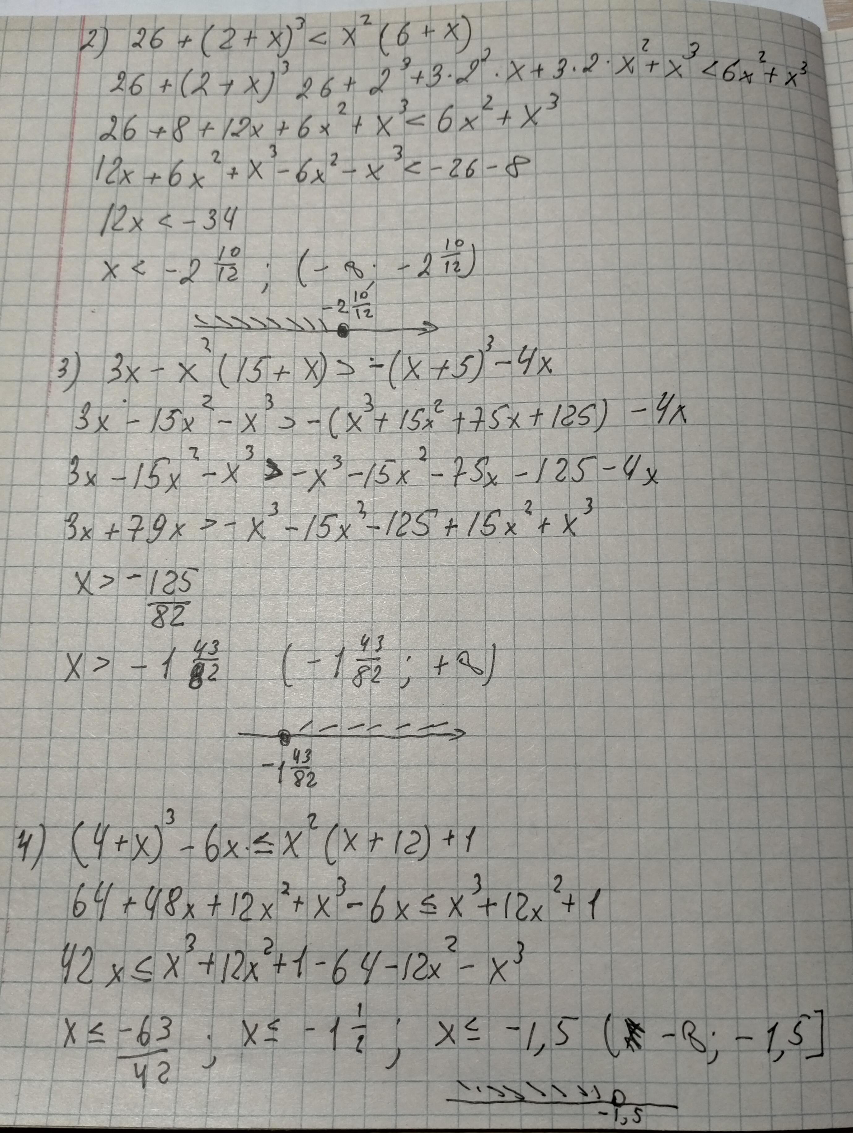
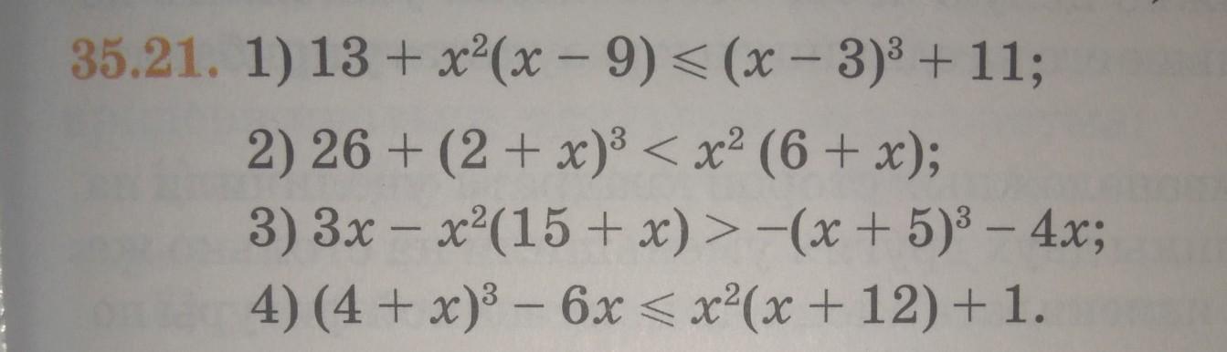
Решите неравенство.
Пожалуйста помогите​

Приложения:

Ответы

Ответ дал: gomer12324
0

Ответ:

решение.......

Объяснение:

Приложения:
Вас заинтересует