• Предмет: Математика
  • Автор: anelalihan29
  • Вопрос задан 7 лет назад

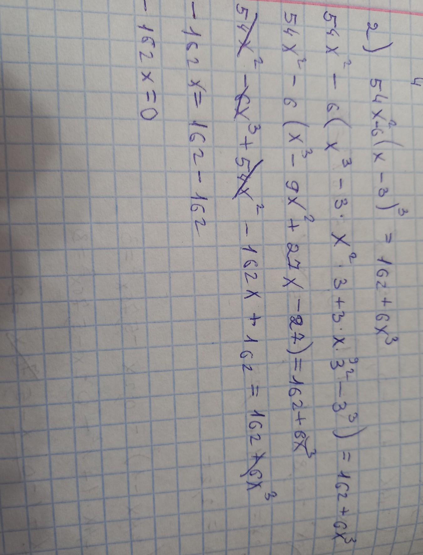
правильно ли решено?
можете проверить?​

Приложения:

kofard: неверно решил,сейчас решу сам. нельзя было сокращать 54x³ . их наоборот надо в 108х³ преобразовать
anelalihan29: оу,хорошо ,спасибо
kofard: извиняюсь,не 54x³,a 54x²

Ответы

Ответ дал: kofard
1

Ответ:

лажа вышла с последними двумя корнями.ты точно все верно выписал?

Приложения:

anelalihan29: да,всё верно написано,мне главное надо было найти первый ответ,спасибо огромное
kofard: ну, по сути,ты его нашла,только получила ты его неправильно)))))
kofard: нашел или нашла? если ты парень,то извини
anelalihan29: нашла,ничего страшного)
Вас заинтересует