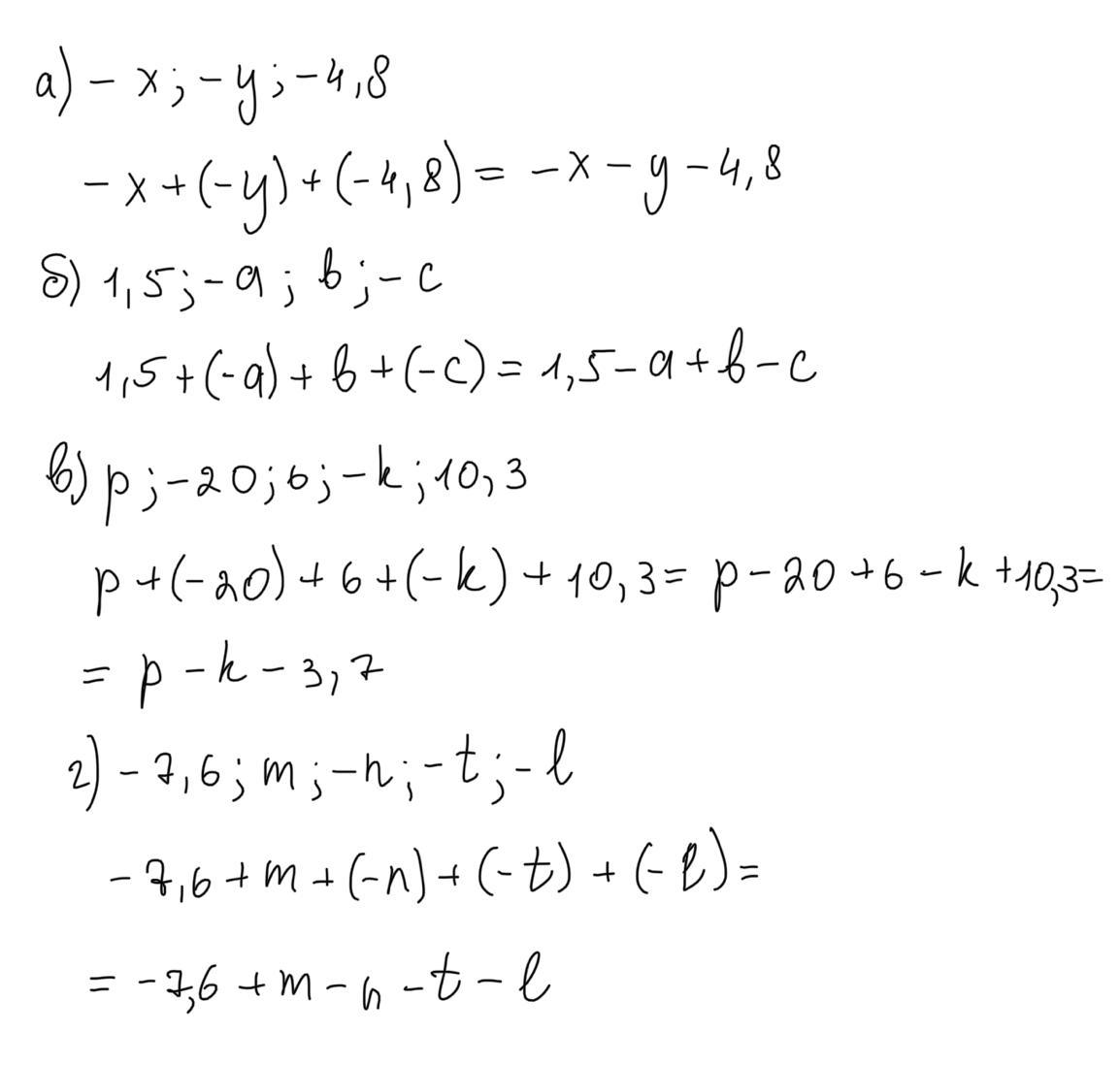
составьте сумму из следующих слагаемых:
a) -x ;-y ;-4,8;
б) 1,5 ;-a ;b ;-c ;
в) p ;-20 ;6 ; -k ;10,3;
г) -7,6 ;m ; -n ;-t ;-l.
Ответы
Ответ дал:
1
Ответ:
Пошаговое объяснение:
Приложения:

Ответ дал:
1
Решение на фото
Надеюсь была полезна <З
Удачи :з
Надеюсь была полезна <З
Удачи :з
Приложения:

Вас заинтересует
2 года назад
2 года назад
2 года назад
8 лет назад
8 лет назад
9 лет назад