Ответы
Ответ дал:
0
Ответ:
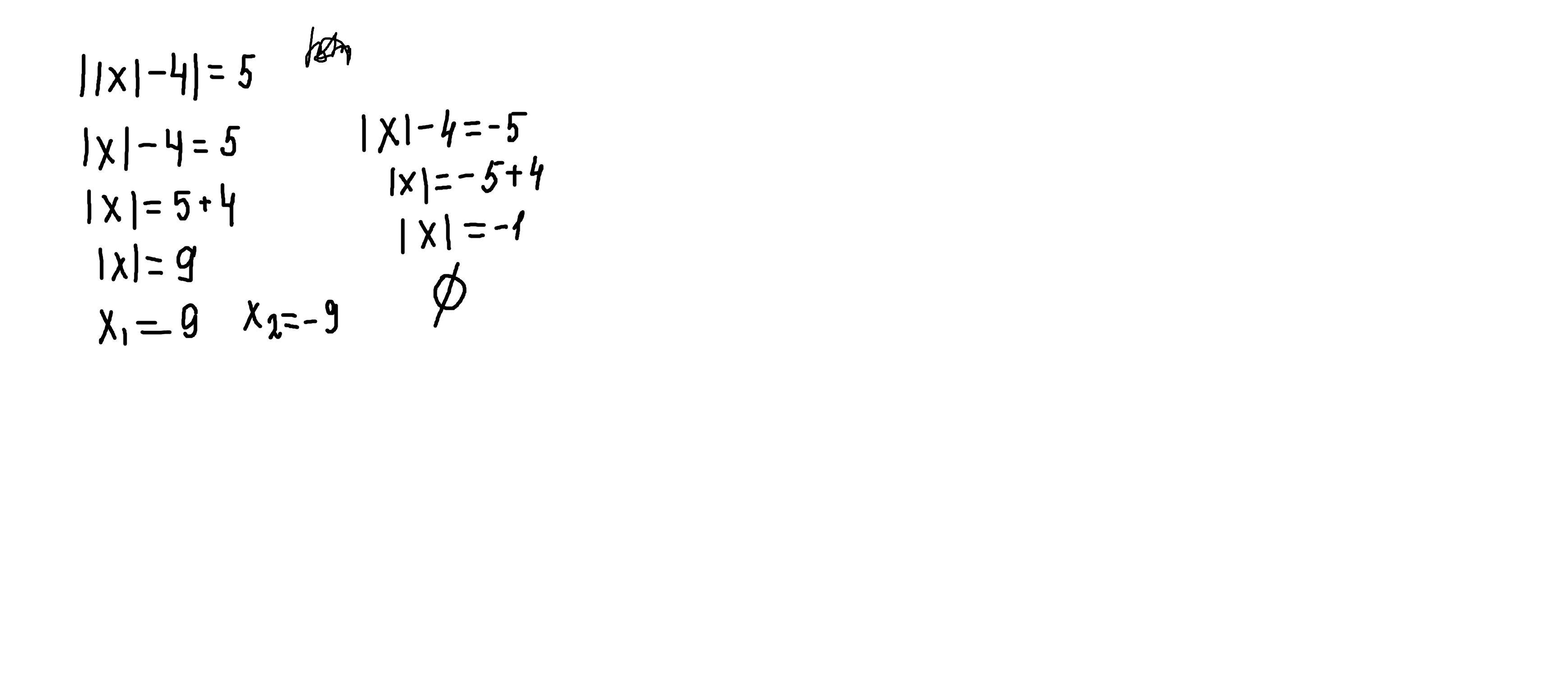
9;-9
Пошаговое объяснение:
т.к модуль это расстояние от точки начало отсчета,до точки на прямой,поэтому он не может быть выражен отрицательным числом.
во втором случае уравнение не имеет корней
Приложения:

Вас заинтересует
2 года назад
2 года назад
2 года назад
8 лет назад