• Предмет: Алгебра
  • Автор: hayanpark095
  • Вопрос задан 7 лет назад

пожалуйста помогите, дам лучший ответ

Приложения:

Ответы

Ответ дал: spasibo3pajbrh
1

Ответ:

D) 1

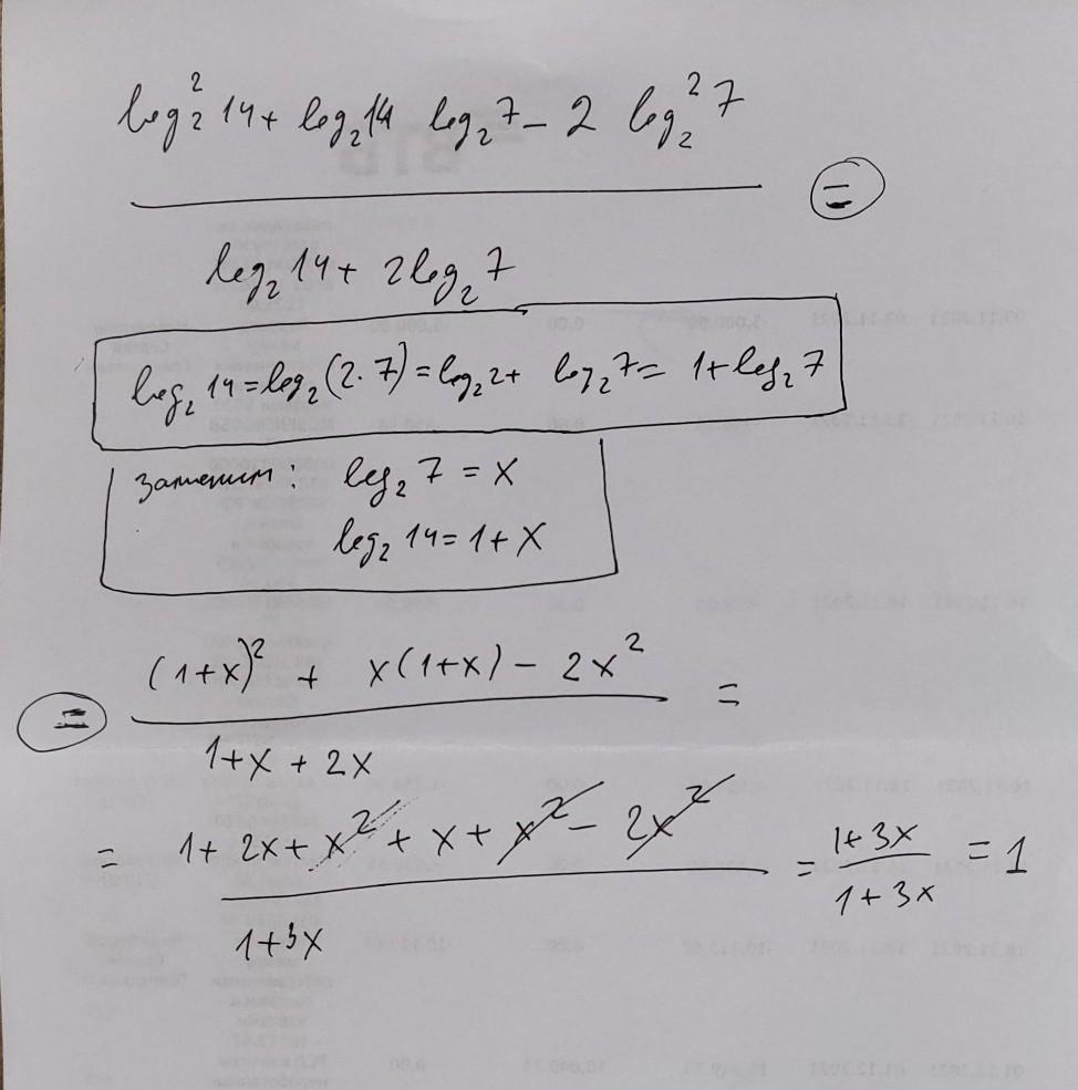
решение приведено на фото

Приложения:

hayanpark095: спасибо большое!!!
spasibo3pajbrh: не за что! был рад помочь
Ответ дал: NNNLLL54
2

Ответ:  D) .

Формулы.

\boxed{\ \ log_{a}(b\cdot c)=log_{a}b+log_{a}c\ \ ,\ \ \ log_{a}a=1\ \ }

\displaystyle \frac{log_2^214+log_214\cdot log_27-2\, log_2^27}{log_214+2\, log_27}=\frac{(log_2(2\cdot 7))^2+log_2(2\cdot 7)\cdot log_27-2log_2^27}{log_2(2\cdot 7)+2\, log_27}=\\\\\\=\frac{(1+log_27)^2+(1+log_27)\cdot log_27-2\, log_2^27}{(1+log_27)+2\, log_27}=\\\\\\=\frac{1+2\, log_27+log_2^27+log_27+log_2^27-2\, log_2^27}{1+3\, log_27}=\frac{1+3\, log_27}{1+3\, log_27}=1


hayanpark095: спасибо большое!!!
Вас заинтересует