Ответы
Ответ дал:
0
Ответ:
На картинке
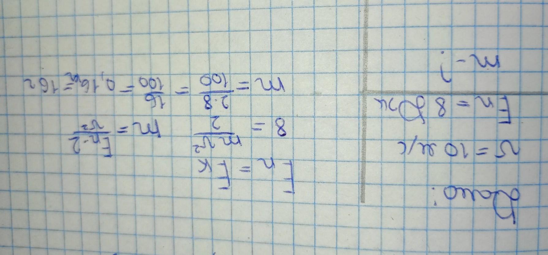
Объяснение:
На картинке
Приложения:



bogillka97:
Если не сложно сделай как лучший ответ
Вас заинтересует
2 года назад
2 года назад
2 года назад
8 лет назад
8 лет назад