СРОЧНО!! 40 БАЛЛОВ НА ИЗИ
Приложения:

AvA22022:
ну ты чего. подставляй вм х числа и считай
Ответы
Ответ дал:
2
Ответ:
В решении.
Объяснение:
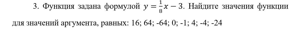
Дана функция у = х/8 -3; х = 16; 64; -64; 0; -1; 4; -4; -24.
1) у = х/8 -3; х = 16;
у = 16/8 - 3 = 2 - 3 = -1;
у = -1;
2) у = х/8 -3; х = 64;
у = 64/8 - 3 = 8 - 3 = 5;
у = 5;
3) у = х/8 -3; х = -64;
у = -64/8 - 3 = -8 - 3 = -11;
у = -11;
4) у = х/8 -3; х = 0;
у = 0/8 - 3 = -3;
у = -3;
5) у = х/8 -3; х = -1;
у = -1/8 - 3 = -3 1/8;
у = -3 1/8;
6) у = х/8 -3; х = 4;
у = 4/8 - 3 = 0,5 - 3 = -2,5;
у = -2,5;
7) у = х/8 -3; х = -24;
у = -24/8 - 3 = -3 - 3 = -6;
у = -6.
Вас заинтересует
2 года назад
2 года назад
8 лет назад
8 лет назад