Ответы
Ответ дал:
1
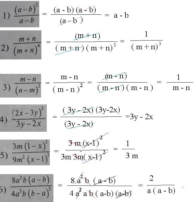
Cм решение в приложении
==========================
Приложения:

xamroevadilnoza285:
спасибо
Вас заинтересует
2 года назад
2 года назад
8 лет назад
8 лет назад
9 лет назад