• Предмет: Математика
  • Автор: Аноним
  • Вопрос задан 7 лет назад

помогите пожалуйста очень надо провенился пж((((​

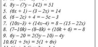
Приложения:

Ответы

Ответ дал: jekadva
1

Ответ:

Пошаговое объяснение:

8y - (7y - 142) = 51

8y - 7y + 142 = 51

y + 142 = 51

y = 51 - 142

y = -91

------------------

(6x + 1) - (3 - 2x) = 14

6x + 1 - 3 + 2x = 14

8x - 2 = 14

8x = 14+2

8x = 16

x = 16:8

x = 2

--------------------

(6 - 2c) + 4 = -5c - 3

6 - 2c + 4 = -5c - 3

10 - 2c = -5c - 3

5c - 2c = -3 - 10

3c = -13

c = -13:3

c = -4 1/3

-----------------

(10x - 3) + (14x - 4) = 8 - (15 - 22x)

10x - 3 + 14x - 4 = 8 - 15 + 22x

24x - 7 = -7 + 22x

24x - 22x = -7+7

2x = 0

x = 0

-------------------

(7 - 10k) - (8 - 8k) + (10k + 6) = -8

7 - 10k - 8 + 8k + 10k + 6 = -8

8k + 5 = -8

8x = -8 - 5

8x = -13

x = -13:8

x = -1,625

------------------

6y - 20 = 2(5y - 10) - 4y

6y - 20 = 10y - 20 - 4y

6y - 20 = 6y - 20

6y - 6y = 20 - 20

0 = 0

y є (-∞ ; ∞)

уравнение имеет множество решений

===================

6(1 + 5y) = 5(1 + 6y)

6 + 30y = 5 + 30y

30y - 30y = 5 - 6

0 ≠ -1

уравнение не имеет  решений

======================

Вас заинтересует