• Предмет: Математика
  • Автор: FokinaAryaDmitrievna
  • Вопрос задан 7 лет назад

Помогите, пожалуйста, с заданиями:

1. Решите уравнение:
|x| − 3,2 = 4,75

Приложения:

Ответы

Ответ дал: sabirzelena
1

Ответ:

Пошаговое объяснение:

1) решить уравнение.

|х|-3,2=4,75

|х|=4,75+3,2=7,95

х=7,95 ;

х= - 7,95.


FokinaAryaDmitrievna: Спасибо, А второе Сможешь?
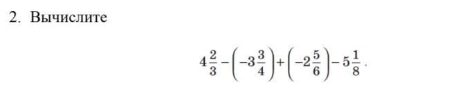
sabirzelena: Ответ второго примера: -7 1/24.
Ответ дал: sofiapoznak84
1

Ответ:

Х = 7,95

Пошаговое объяснение:

Так как х- 3.2 =. 4.75

Значит х=3.2+4.75


FokinaAryaDmitrievna: Спасибо
Вас заинтересует