• Предмет: Алгебра
  • Автор: WhyDoIExist111
  • Вопрос задан 7 лет назад

Вопрос ниже --------->

Приложения:

Ответы

Ответ дал: maryam398
0

Ответ:

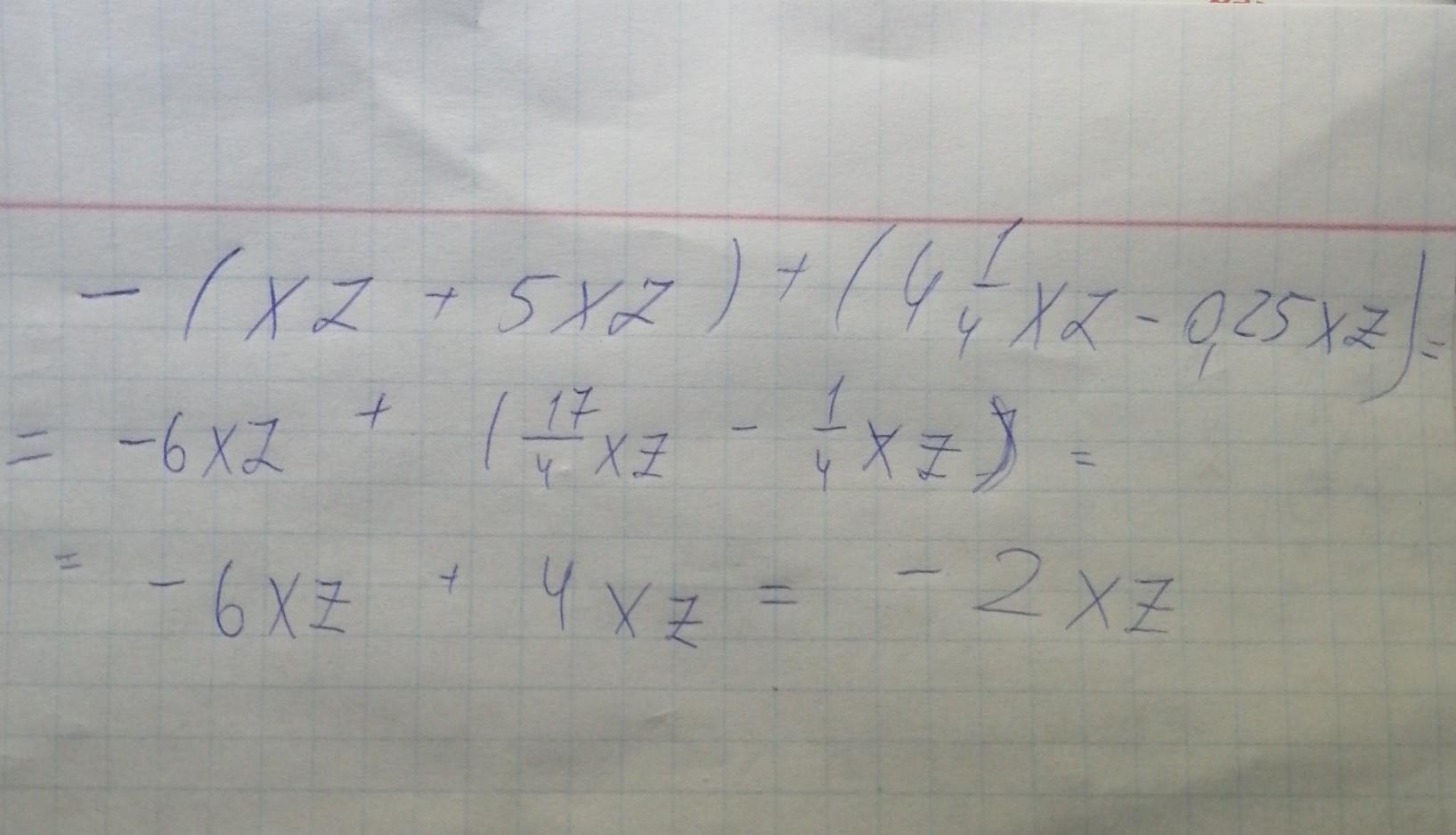
ответ - 2xz, решение отправила

Приложения:
Вас заинтересует