Ответы
Ответ дал:
1
Ответ: 5
Объяснение:
Смотри
Приложения:

Ответ дал:
0
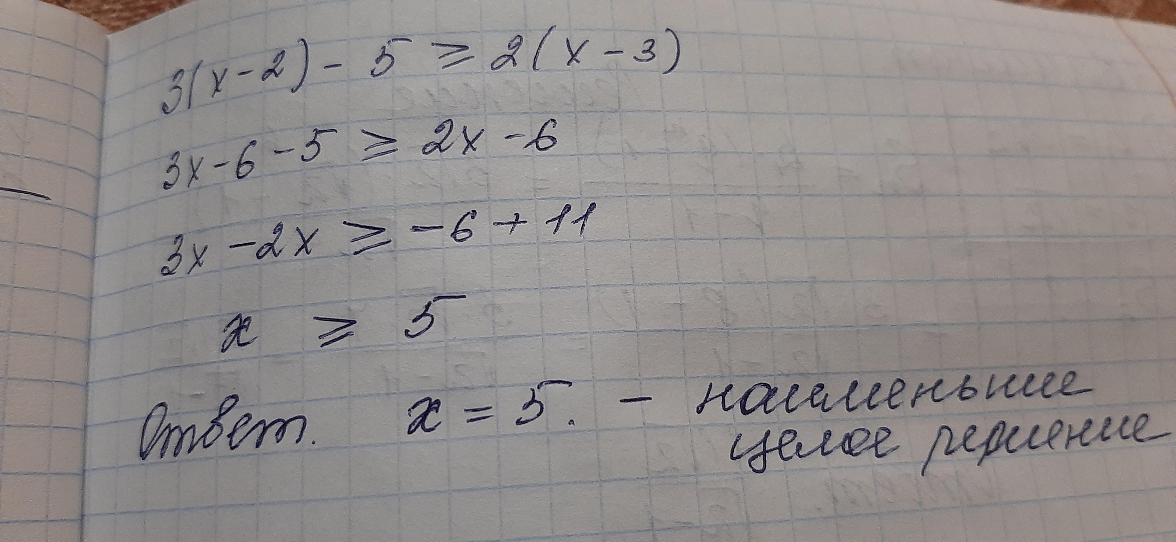
3(x−2)−5≥2(x−3)
3х-6-5≥2х-6
3х-5≥2х
3х-2х≥5
х≥5
х∈[5,+∞)
Вас заинтересует
2 года назад
2 года назад
2 года назад
2 года назад
8 лет назад
9 лет назад