• Предмет: Алгебра
  • Автор: GoldAnonim666
  • Вопрос задан 7 лет назад

Решите задачу
В отеле Санкт-Петербурга есть 2-местные и 3-местные
номера, в которые заселили 27 гостей из Москвы таким образом, что гости заняли 10 номеров. Ночь в двухместном номере на одного человека стоит 2000 рублей, ночь в трёхместном номере на одного человека стоит 1500 рублей. Сколько рублей суммарно потратили все гости из Москвы за одну ночь в отеле?

Ответы

Ответ дал: mil1455
3

3 местных номеров—7

3×7=21(гость)

2 местные номера заполнили 27-21=6 (гостей)

6:2=3 (комнаты)

всего 10 комнат

1) стоимость 2 местной комнаты 1 ночь

2000×2=4000(руб)

2) стоимость 3-х 2 местных комнат за 1 ночь

4000×3=12000(руб)

3)стоимость 3 местной комнаты 1 ночь

1500×3=4500 (руб)

4) стоимость 7-и 3 местных комнат за 1 ночь

4500×7=31500(руб)

5)12000+31500=43500 (руб)

ответ: 43500 рублей

Приложения:

GoldAnonim666: объясни
GoldAnonim666: А то поставлю 1 звезду
mil1455: вставила в ответ фото.
GoldAnonim666: напиши что в кругах, не разберу
GoldAnonim666: не могу фото вставить
GoldAnonim666: напиши 6-10 строчки пж.
GoldAnonim666: всё разобрал
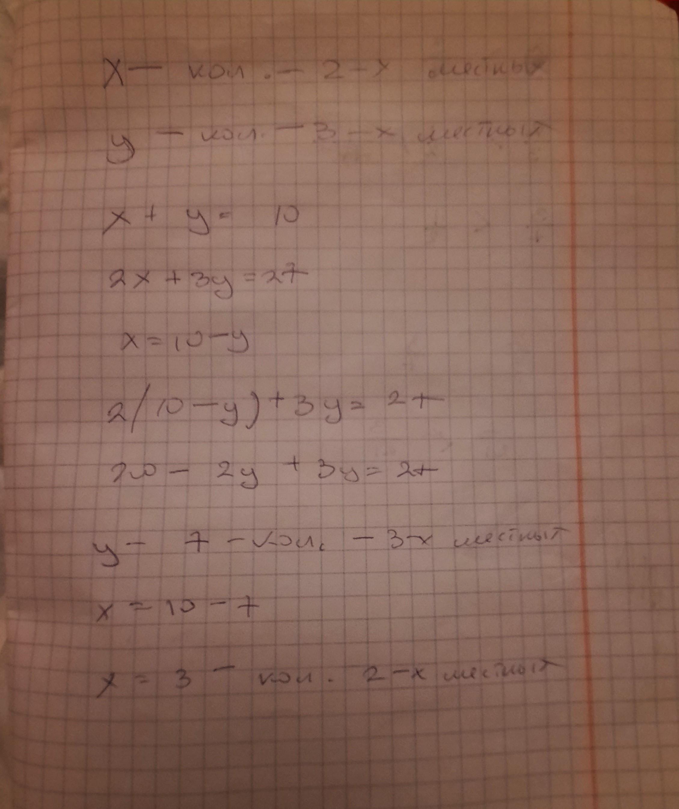
mil1455: 2(10-y)+3y=27 20-2y+3y=27 y—7 кол. 3-х местных x=10-7 x=3 - кол. 2-х местных
GoldAnonim666: всё понял
GoldAnonim666: А то мне д/з надо до 23:00 скинуть
Вас заинтересует