• Предмет: Алгебра
  • Автор: Аноним
  • Вопрос задан 7 лет назад

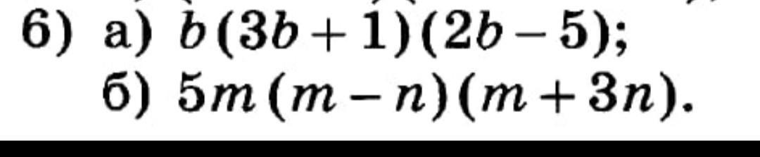
Выполните умножение.​

Приложения:

Ответы

Ответ дал: ete16
1

a)(3 {b}^{2}  + b)(2b - 5) \\ 6 {b}^{3}  - 15 {b}^{2}  + 3 {b}^{2} - 5b

b)(5 {m}^{2}  - 5mn)(m + 3n) \\ 5 {m}^{3}  + 15 {m}^{2} n - 5 {m}^{2} n - 15m {n}^{2}

Ответ дал: Applegate
4

Ответ:

a)6b³-13b²-5b;

б)5m³+10m²n-15n²m

Объяснение:

а) b(3b+1)(2b-5)=b(6b²-15b+2b-5)=6b³-15b²+2b²-5b=6b³-13b²-5b;

б) 5m(m-n)(m+3n)=5m(m²+3nm-nm-3n²)=5m(m²+2nm-3n²)=5m³+10m²n-15n²m

Вас заинтересует