Найдите значение выражения
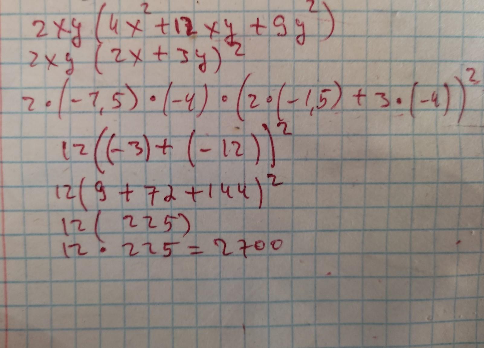
8х³ у+24х²у²+18ху³, при х-1,5 и у-4
Срочно надо помогите срочно кто первый отмечу лучшим
2494107:
Плиз помогитеееееее
Ответы
Ответ дал:
1
Пошаговое объяснение:
1) выносишь общий знаменатель
2) в скобках получается формула суммы квадрата
3) ставишь вместо Х и У их значения и считаешь
4) в скобках снова применяешь формулу суммы квадрата
5) знаменатель вынесенный за скобки умножаешь его на число в скобках.
Приложения:

Вас заинтересует
2 года назад
2 года назад
2 года назад
2 года назад
8 лет назад
8 лет назад
9 лет назад