• Предмет: Математика
  • Автор: malenkih10523
  • Вопрос задан 7 лет назад

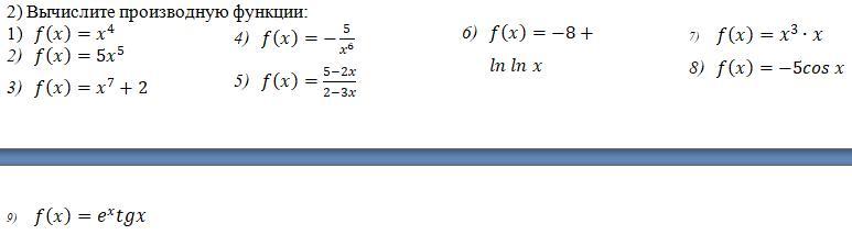
Помогите решить производные)

Приложения:

Ответы

Ответ дал: katya0280
0

Ответ:

1) 4х

2) 3125 х

3) 9 х

4) - 5/6 х

5) 2,5 х

6) - 8

7) 3 хх

8) n/2

Вас заинтересует