• Предмет: Физика
  • Автор: ramazanovramazan50
  • Вопрос задан 7 лет назад

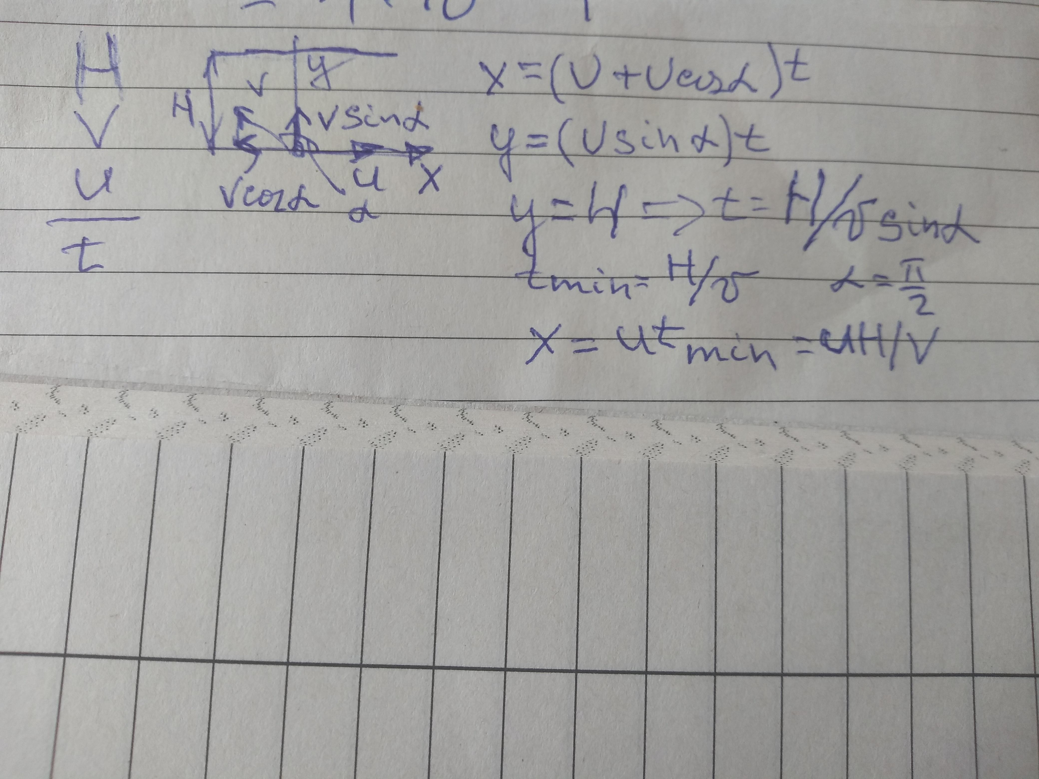
пловец хочет переплыть реку шириной H .за Какое минимальное время он сможет переплыть реку ,если его собственная скорость V ,а скорость течения u .какой путь относительно берега он при этом проплывёт​

Ответы

Ответ дал: lvv9136
0

Ответ:

см фото

Объяснение:

Приложения:
Вас заинтересует