Ответы
Ответ дал:
1
Объяснение:
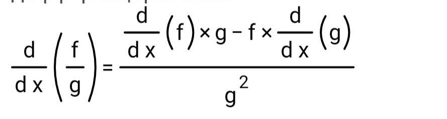
2 фото формула которую я использовал
Приложения:


Вас заинтересует
2 года назад
2 года назад
2 года назад
2 года назад
8 лет назад
9 лет назад
9 лет назад