• Предмет: Алгебра
  • Автор: dasha23456789hb
  • Вопрос задан 7 лет назад

помогите пожалуйста жцбвдыьвыьыбцбы​

Приложения:

Ответы

Ответ дал: Ляляляля109
0

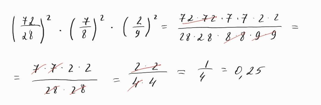
Решение представлено на фото

Приложения:
Вас заинтересует