• Предмет: Математика
  • Автор: Jokioo
  • Вопрос задан 7 лет назад

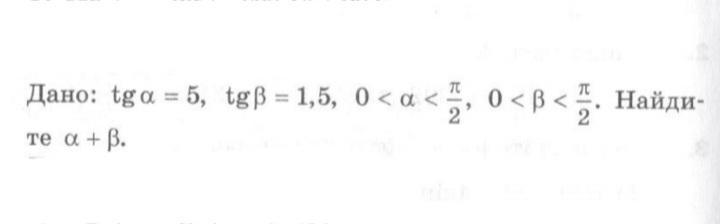
Помогите с задачей пожалуйста

Приложения:

Ответы

Ответ дал: talgaterniaz024
0

.gggģvvvvvvvvvvvvv 9.00

Вас заинтересует