Решите систему уравнений
{ 2x - 3y = 8
{ 3x + y = 1
GoldAnonim666:
VYT LJ 5 xfcjd CLFNM
Ответы
Ответ дал:
2
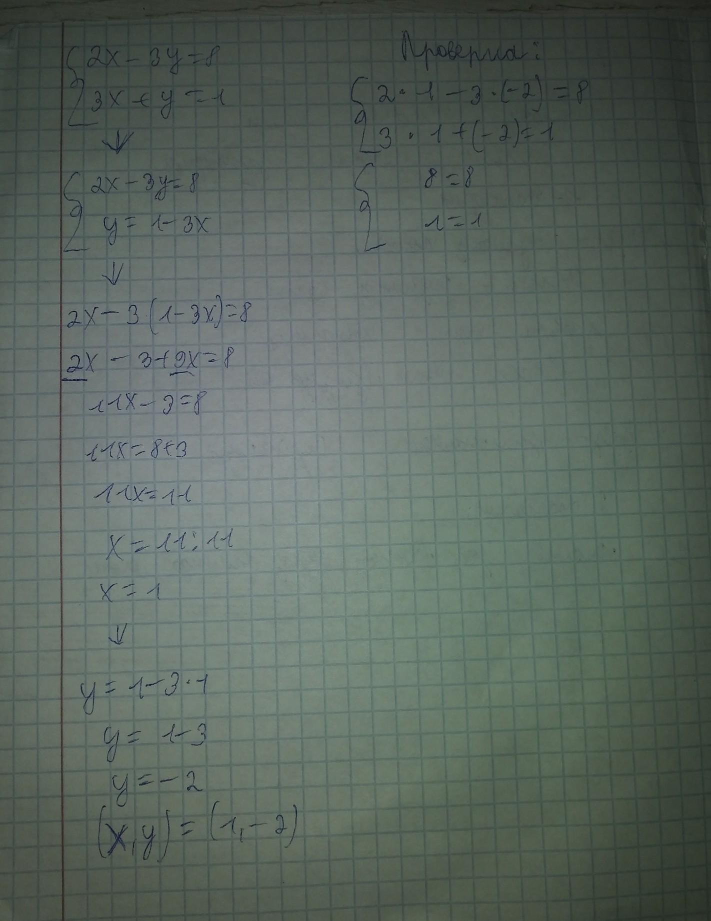
Решим систему уравнений методом подстановки (на фото )
Мы выразили y :
y= 1-3x
Теперь подставляем это в 1 уравнение(вместо y пишем "1-3x") :
2x-3(1-3x)=8
Далее раскрываем скобки,приводим подобные, и находим значение x
Потом ищем значение y ,зная чему равен x
Проверка равенства так же на фото
2×1-3×(-2)=8
8=8
т.к
2×1=2
-3×(-2)=6 (сначала всегда выполняем умножение)
2+6=8
3×1+(-2)=1
1=1
т.к.
3×1=3
3+(-2)= 1 ,плюс на минус дает минус
Приложения:

Вас заинтересует
2 года назад
2 года назад
8 лет назад
9 лет назад