Ответы
Ответ дал:
1
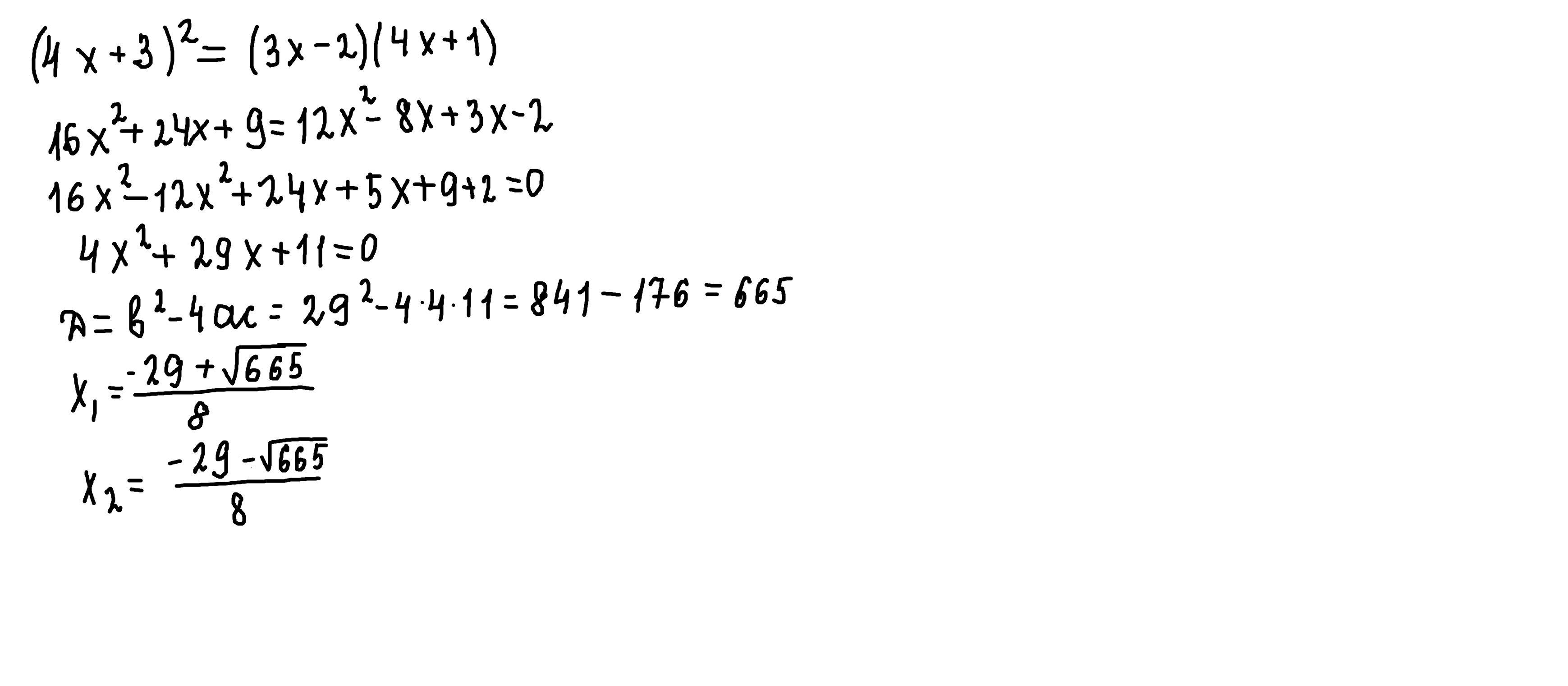
(4x+3)^2=(3x-2)(4x+1)
16x^2+24x+9=12x^2+3x-8x-2
16x^2+24x-12x^2-3x+8x=-2-9
4x^2+29x=-11
4x^2+29x+11=0
a=4 b=29 c=11
D=b^2-4ac=29^2-4×4×11=841-176=665
x1=-b+кореньD/2a=-29+корень665/2×4=-29+корень665/8
x2=-b-кореньD/2a=-29-корень665/2×4=-29-корень665/8
Ответ дал:
1
Ответ:
Объяснение:
решение внизу
Приложения:

Вас заинтересует
2 года назад
2 года назад
8 лет назад
8 лет назад
9 лет назад
9 лет назад