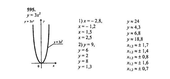
На миллиметровой бумаге построить график функции y=3x2 По графику приближённо найти: 1) значение у при х=-2,8; -1.2; 1.5 2.5 2) значение х, если у=9; 6; 2; 8; 1.3
Ответы
Ответ дал:
1
Ответ:нашёл в инете, надеюсь поможет
Объяснение:
Приложения:

Вас заинтересует
2 года назад
2 года назад
2 года назад
2 года назад
8 лет назад