• Предмет: Математика
  • Автор: Аноним
  • Вопрос задан 7 лет назад

пожалуйста помогите ​

Приложения:

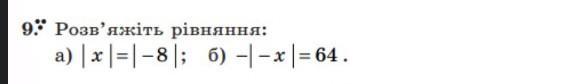
miki68: а) х=8 и х=-8, б) нет решения

Ответы

Ответ дал: nunu16032009
1

Ответ:

1) |x|  =  | - 8|   \\ x = 8 \\ 2) -  | - x|  = 64 \\   | - x|  = x \\  - x = 64 \\ x =  - 64

Вас заинтересует