• Предмет: Математика
  • Автор: takkira
  • Вопрос задан 7 лет назад

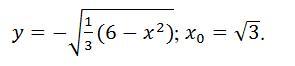
Составить уравнение касательной к графику функции y=f(x) в точке с абсциссой.

Приложения:

Ответы

Ответ дал: lilyatomach
1

Ответ:

y=\dfrac{\sqrt{3} }{3} x-2    уравнение касательной к графику в точке с абсциссой x{_0}  

Пошаговое объяснение:

Составим уравнение касательной к графику функции

y= -\sqrt{\dfrac{1}{3}(6-x^{2} ) }

в точке с абсциссой x{_0}=\sqrt{3}

Уравнение касательной в общем виде:

y=f(x{_0})+f'(x{_0})\cdot(x-x{_0})

Запишем заданную функцию в виде

f(x)= -\sqrt{2-\dfrac{1}{3}x^{2}  }

Найдем значение функции в точке с абсциссой x{_0}=\sqrt{3}

f(x{_0})= -\sqrt{2-\dfrac{1}{3}\cdot (\sqrt{3} )^{2}  }=- \sqrt{2-\dfrac{1}{3} \cdot3} =-\sqrt{2-1} =-\sqrt{1} =-1

Найдем производную данной функции

f'(x)=\left( -\sqrt{2-\dfrac{1}{3}x^{2}  }\right)'= -\dfrac{1}{2\sqrt{2-\dfrac{1}{3}x^{2}  }} \cdot \left(2-\dfrac{1}{3} x^{2}\right )'=\\\\= -\dfrac{1}{2\sqrt{2-\dfrac{1}{3}x^{2}  }} \cdot \left(-\dfrac{2}{3} x\right)=\dfrac{x}{3\sqrt{2-\dfrac{1}{3}x^{2}  }}

Найдем значение производной в точке с абсциссой x{_0}=\sqrt{3}

f(x{_0})=\dfrac{\sqrt{3} }{3\sqrt{2-\dfrac{1}{3}\cdot(\sqrt{3} )^{2}  }} =\dfrac{\sqrt{3} }{3\sqrt{2-\dfrac{1}{3} \cdot3} }=\dfrac{\sqrt{3} }{3\sqrt{2-1} }=\dfrac{\sqrt{3} }{3\sqrt{1} }=\dfrac{\sqrt{3} }{3}

Подставим найденные значение в общее уравнение касательной.

y= -1+\dfrac{\sqrt{3} }{3} \cdot( x-\sqrt{3} )= -1+\dfrac{\sqrt{3} }{3} x-\dfrac{\sqrt{3} }{3}\cdot\sqrt{3}= -1+\dfrac{\sqrt{3} }{3} x-1=\dfrac{\sqrt{3} }{3} x-2

y=\dfrac{\sqrt{3} }{3} x-2 -  уравнение касательной к графику в точке с абсциссой x{_0}.

Вас заинтересует