• Предмет: Алгебра
  • Автор: Sadigg
  • Вопрос задан 7 лет назад

Помогите срочно дам 30
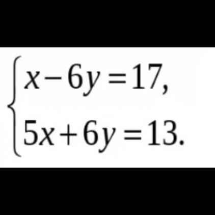
Решить методом подстановки и сложением

Приложения:

Ответы

Ответ дал: vladick2317
0

Ответ:

x=5 y=-2

Объяснение:

{x-6y=17

{5x+6y=13

6x=30

x=5

т.к

5x+x-6y+6y=13+17=30

5*5+6y=13

6y=-12

y=-2

Вас заинтересует