помогите решить.
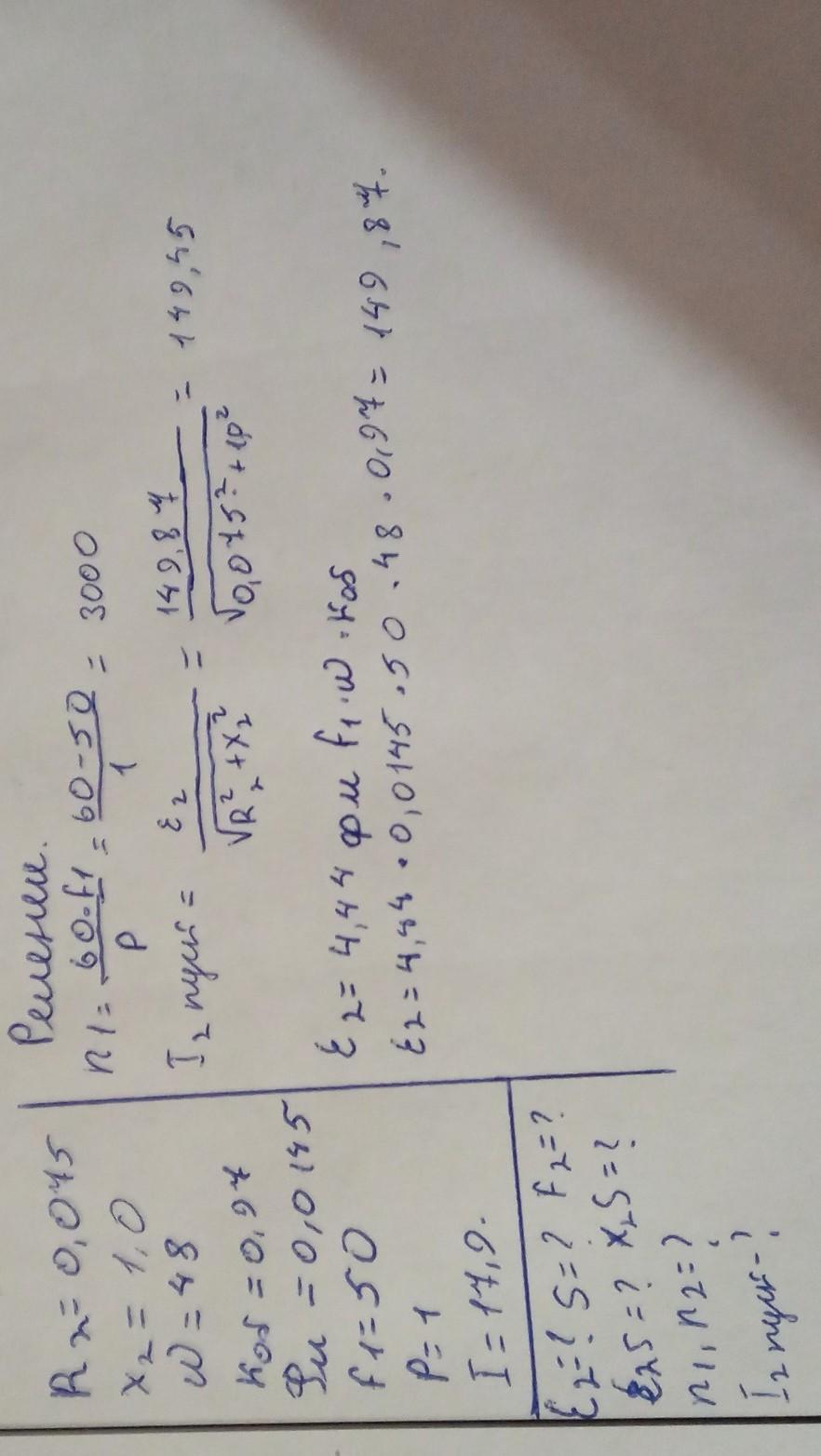
Не могу найти скольжение двигателя S и скорость вращения магнитного поля статора n2
Приложения:

Ответы
Ответ дал:
1
Ответ:
сложна
Объяснение:
я тоже не могу
Вас заинтересует
2 года назад
2 года назад
2 года назад
2 года назад
8 лет назад
8 лет назад
9 лет назад
9 лет назад