помогите ПОЖАЛУЙСТА ОЧЕНЬ-ОЧЕНЬ ОЧЕНЬ СРОЧНО ПОЖАЛУЙСТА ОЧЕНЬ-ОЧЕНЬ ОЧЕНЬ СРОЧНО ПОЖАЛУЙСТА
Приложения:

Ответы
Ответ дал:
1
Ответ:
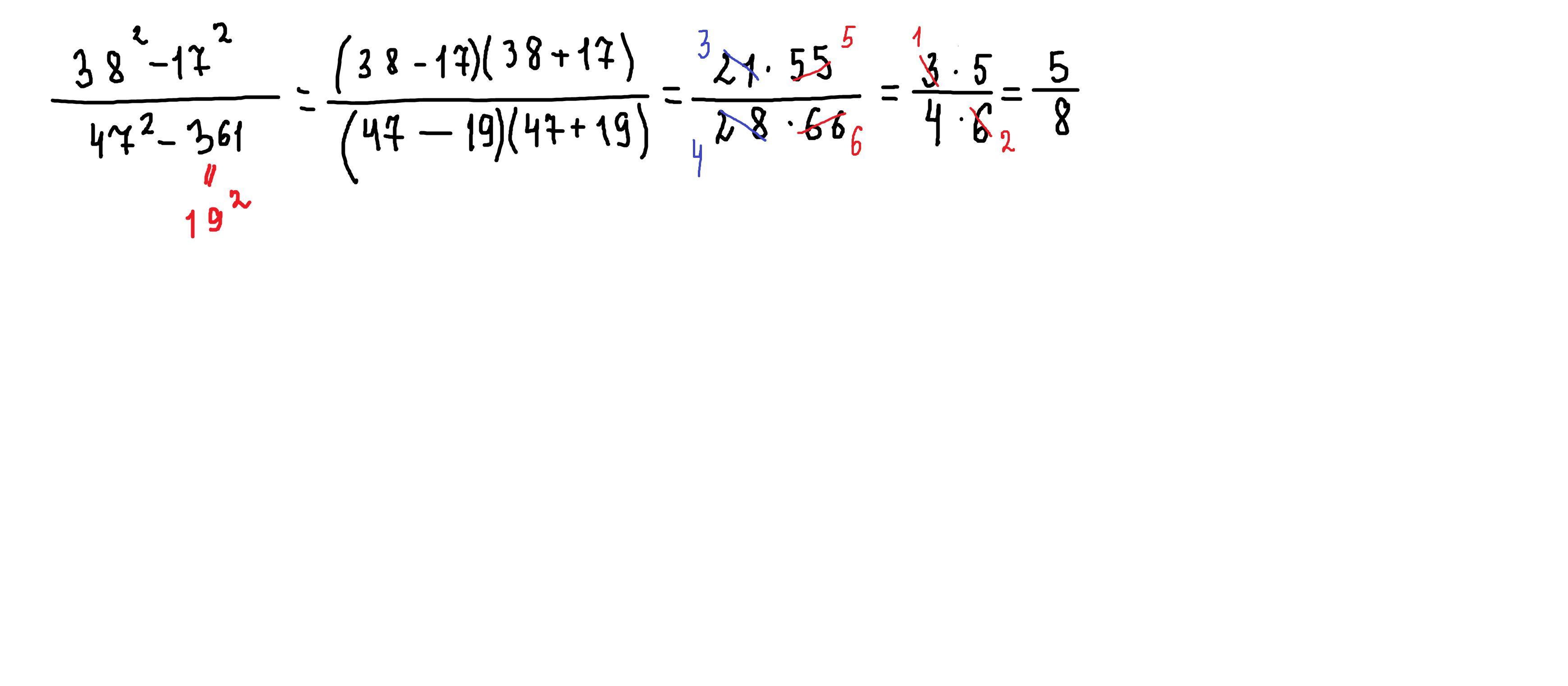
Объяснение: по формуле (а-в)²=а²-2ав+в²
87²- 174*67+67²=87²- 2*87*67+67²=(87-67)²=20²=400
второе задание выполняем по формуле а²-в²=(а-в)(а+в)
Приложения:

aapovaradmila76:
спасибо огромное
Вас заинтересует
2 года назад
2 года назад
2 года назад
8 лет назад
9 лет назад