• Предмет: Алгебра
  • Автор: nastyaesaulov
  • Вопрос задан 7 лет назад

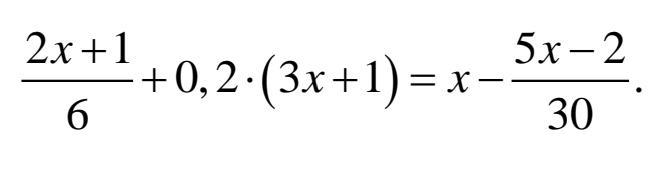
Пожалуйста помогите, можете подробно расписать решение

Приложения:

Ответы

Ответ дал: gazizoviczoltaevic
1

Ответ:

ответ :х=-3

Объяснение:

ввроде правильно если не ошибаюсь

Приложения:
Вас заинтересует