Ответы
Ответ дал:
0
Ответ:
Пошаговое объяснение:
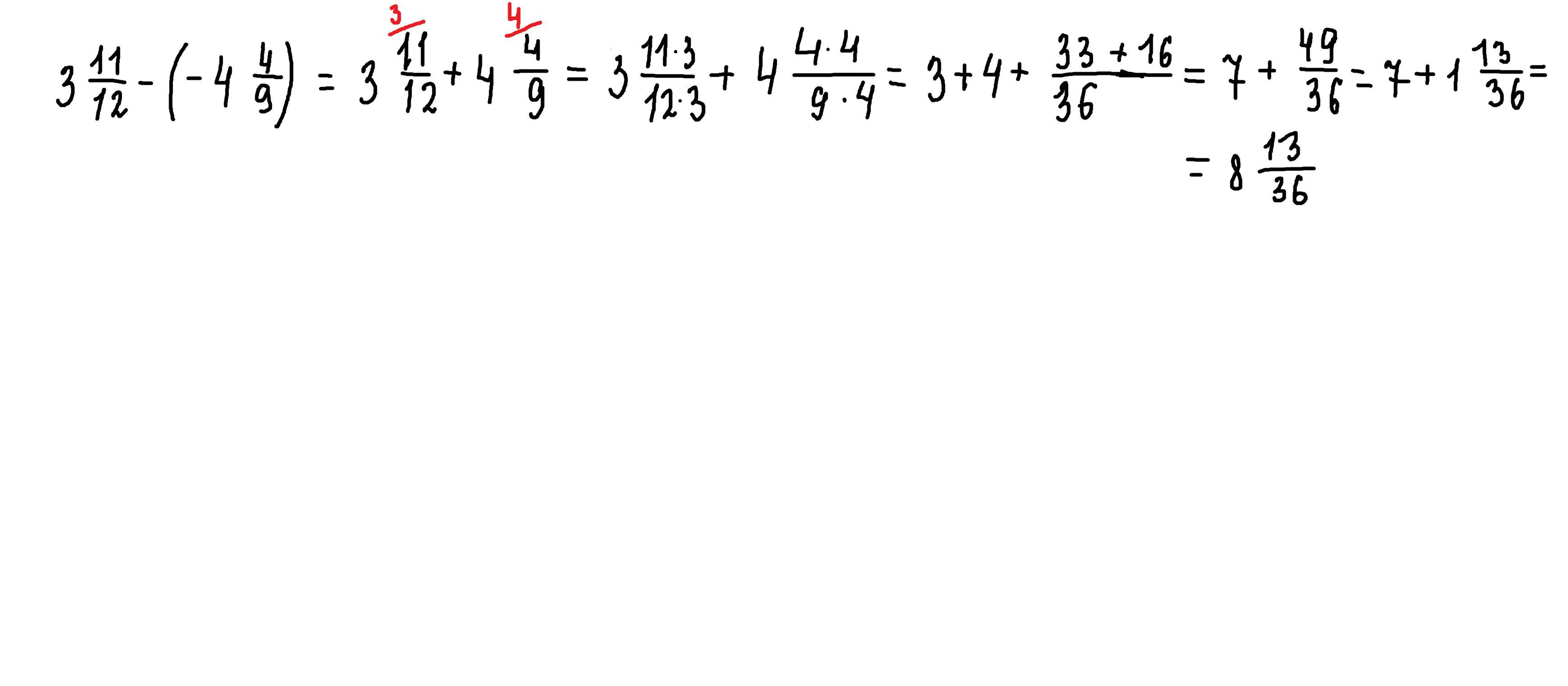
приводим к общему знаменателю 36
Приложения:

polinaakimova2009:
спасибо
Ответ дал:
0
Ответ:
8 13/36
Пошаговое объяснение:
решение внизу
Приложения:

Вас заинтересует
2 года назад
2 года назад
2 года назад
8 лет назад
8 лет назад
9 лет назад