• Предмет: Математика
  • Автор: alexx1985
  • Вопрос задан 7 лет назад

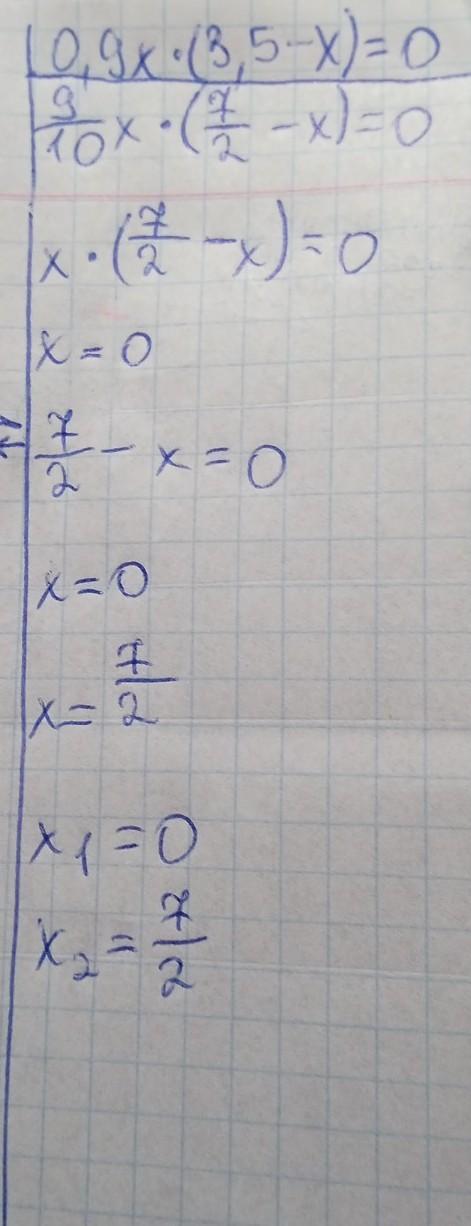
Решите уравнение 0,9x ∙ (3, 5 - x) = 0.

Ответы

Ответ дал: sofyashkola101
1

все решение в фотографии

Приложения:
Вас заинтересует